(6)電波と通信に関わる基本的な計算〔一等〕
カテゴリーⅢ飛行を行うにあたっては、電波と通信に関わる基本的な計算(周波数帯や送受信間距離を踏まえ必要となるアンテナの高さ等)について理解しておく必要がある。
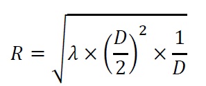
1) フレネルゾーン半径と必要なアンテナの高さ
フレネルゾーンの半径:R(m)、送受信アンテナ間距離:D(m)、
使用周波数f(Hz)、波長:λ(m) とすると、
これらの間には以下の関係がある。

上記式を用いた、送受信アンテナ間距離:100m 、使用周波数:2.4GHz のときのフレネルゾーンの半径の具体的な導出方法を以下に示す。
上記の前提条件より、
⚫ 送受信アンテナ間距離:D=100m
⚫ 使用周波数:f=2.4×109Hz
⚫ 波長:λ=(3×108)÷(2.4×109)=0.125 m (光の速度を 3×108m/s とした場合)
と求めることができる。
以上より、フレネルゾーンの半径 R は、

よって理想的なアンテナの高さは 1.77m以上となる。
なお、実際にはフレネルゾーン半径の 60%以上のアンテナ高さが確保できていれば、フレネルゾーンに障害物がない場合と同等の通信品質を確保できるといわれている。この条件にて必要なアンテナの高さを計算すると、1.77×0.6≒1.1m以上となる。


